Lompat ke konten Lompat ke sidebar Lompat ke footer

33+ Geometric Sequence Formula Infinite Most Popular

33+ Geometric Sequence Formula Infinite Most Popular. Explains the terms and formulas for geometric series. Proving a sequence converges using the formal definition.

PPT - Geometric Sequences PowerPoint Presentation, free ...
PPT - Geometric Sequences PowerPoint Presentation, free ... from image3.slideserve.com
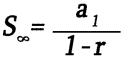
Geometric sequence (geometric progression) — a sequence of numbers b1, b2, b3,., in which each member, starting with the second, equal to the product of the previous member and a constant number q (common ratio), where b1 ≠ 0, q ≠ 0. ·· ar^n + ·· ·· ·∞ where a is called first term and r is the common ratio. This formula is appropriate for gp with r > 1.0.

A geometric series is a sum of numbers whose consecutive terms form a geometric sequence.

As n approaches infinity equals 1. while this gives a preview of what is to come in your continuing study of mathematics, at this point we are concerned with developing a formula for special. Sum of infinite geometric progression, igp the number of terms in. I want to know how to find the sum of the following infinite geometric sequence. Recall the advanced factoring technique for the notice how this formula is the same as the finite version but with math processing error , just as you reasoned.


Posting Komentar untuk "33+ Geometric Sequence Formula Infinite Most Popular"