Lompat ke konten Lompat ke sidebar Lompat ke footer

38+ Trigonal Planar Geometry Most Popular

38+ Trigonal Planar Geometry
Most Popular
. Vsepr theory and how to determine the shape of a molecule. Trigonal planar geometry is shown by molecules with four atoms.

PPT - VSEPR. PowerPoint Presentation - ID:214953
PPT - VSEPR. PowerPoint Presentation - ID:214953 from image.slideserve.com
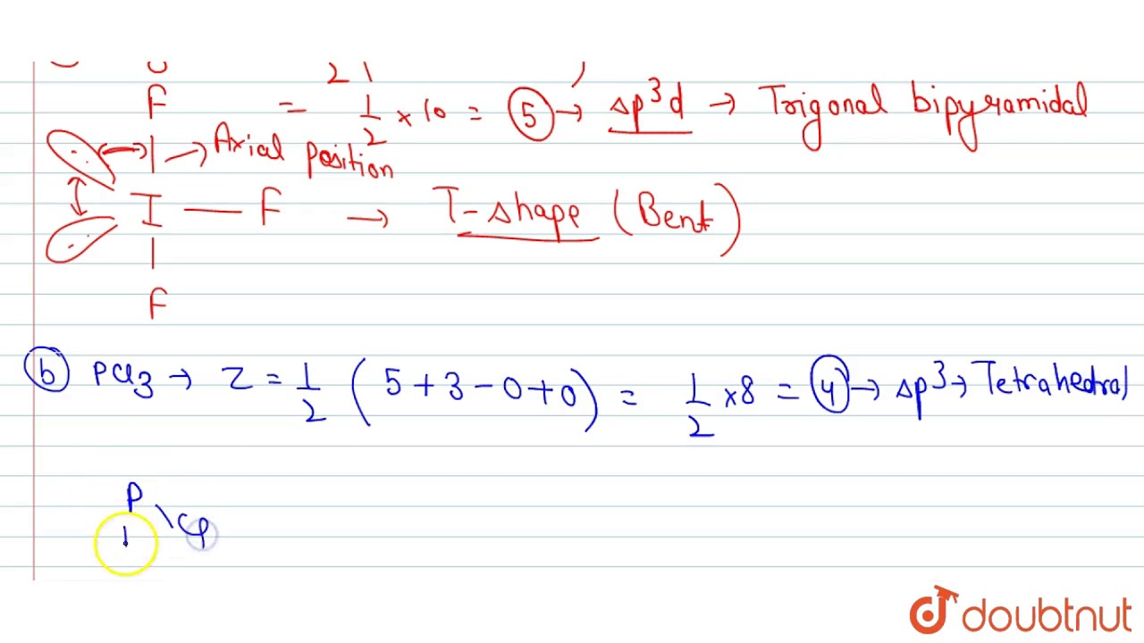
Geometry refers to the bond angles about a central atom. Pcl3 and nh3 have pyramidal geometry. The electronic when there is at least one or more lone pairs.

This molecule is electron deficient and does not follow the octet rule because it has only 6 valence electrons.

This molecule is electron deficient and does not follow the octet rule because it has only 6 valence electrons. The electronic when there is at least one or more lone pairs. The c with the double bond looks like trig planar to me. Tetrahedral and trigonal planar bond geometries, conformation and rotation.


Posting Komentar untuk "38+ Trigonal Planar Geometry Most Popular"